來源:彈簧百科 發布時間:2021-08-30 21:49:03

圓錐彈簧圖紙設計手冊
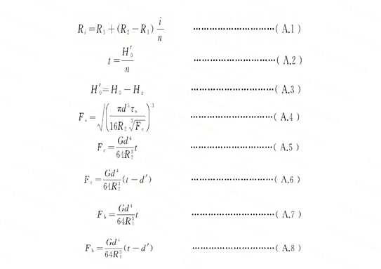
等螺距截錐螺旋彈簧相關計算公式:
任意有效圓的曲率半徑R;根據公式(A.1),其中I-計算從小端開始的任何圓的繞組編號序列。
節距t根據公式(A.2)計算。在公式(A.2)中,截錐螺旋彈簧自由狀態下有效環之間的高度根據公式(A.3)計算。在公式中,H,-截錐螺旋彈簧軸承環壓力和高度,根據表A.3計算。
根據公式(A.1)計算試驗荷載F。
1) 當截錐螺旋彈簧R2-RI>Nd時,根據公式(A.5)計算公式(A.4)中的初始接觸載荷Fc。
2) 當截錐螺旋彈簧R2-R
壓并負載Fb:
1) 當截錐螺旋彈簧R2-R>Nd時,根據公式(A.7)進行計算。
2) 當截錐螺旋彈簧(A.8)


如需查看全本,可聯系客報索要相關資料。